
Congratulations to Frank Preston on publishing his paper on informed consent in publishing and deidentification methods, out today in the Journal of Empirical Research on Human Research Ethics. This work came from his MRes in Clinical Sciences research project with myself, Austin McCormick and James Hsuan last year.
The premise of the study was very simple: in lots of clinical papers it is valuable to the narrative to include images of patients. However, while patients are happy that research into their condition is being performed, they often would prefer not to be identified in the publication. Hence the need for deidentification techniques.
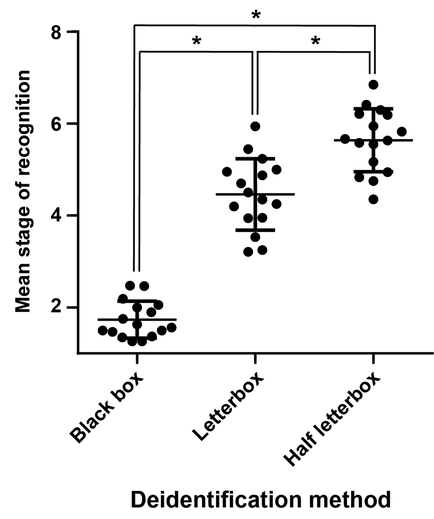
The standard approach has been to use a black box covering the eyes. This does work to an extent, but how effective it is depends on how big the box is and how well you know the participant (no surprise). The black box approach is also not an option if (like a lot of Austin and James’ work) the clinical area of interest is in around the eyes. Therefore Frank tested the efficacy of the inverse approach (“letterbox”).
Frank generated a series of photographs of celebrities using either the black box, letterbox or half-letterbox method and then asked volunteers to identify those celebrities after various stages of their face were revealed. It’s actually quite a fun game (possibly coming soon…). To develop the panel of images in a fair and consistent way, Frank (with help from Yanda Meng and Yalin Zheng) used artificial intelligence to establish the facial landmarks. Which was pretty cool.
You can see some examples below of how that worked using Barack Obama as an exemplar, and below each image are the mean rates at which participants were identified all the people at each stage.

The main take-aways are two-fold:
1 – Black boxes over the eyes don’t really work all that well
Most people were able to identify the celebrities with very little of face being visible. Indeed, I would go so far as to say that these data support moving away entirely from black box methods as it provides so little benefit to establishing anonymity.
2 – Letterbox/half-letterbox deidentification is better but still not great
Realistically, the letterbox had to be quite small to be confident that deidentification has been achieved. Therefore, even in situations where it does work those applications are quite narrow.
What needs to be shown to convey the required message will dictate the method that is most appropriate. However, in all cases our data show not just consent, but fully informed consent that tells are participant how the image will be presented and what that means in terms of deidentification.
This work is a little divergent from the normal theme of the Hamill lab. Austin, James, Yalin and I have been working together for awhile now in a range of somewhat diverse studies including sunscreen application and the effectiveness of SPF containing moisturisers. It’s really nice to be able to broaden my research horizons away from molecular and cellular biology. Research and publication ethics is an interesting and important area (I sit on our institute ethics panel) and being involved in supervising this work was fun and the work itself interesting and valuable.


2 Comments